Essai Politique

Un homme, deux voix : le vote par procuration


par & & , le 11 février 2014


Download article: PDF EPUB MOBI

La pratique du vote par procuration, de plus en plus répandue, reste mal connue. Tant la conception du vote comme acte personnel que les orientations dominantes des études de cet acte de citoyen conduisent à négliger cette procédure. Des universitaires apportent ici des éléments destinés à la construire comme objet d’étude sociologique.

Qui a recours au vote par procuration, de plus en plus répandu et de plus en plus simple à établir ? Nous analysons ici la procuration à partir de données récentes (2008-2012), à l’échelle du bureau de vote, sur plusieurs villes et plusieurs types d’élections, locales et nationales. Ce premier travail cartographique et statistique met en lumière les déterminants sociaux d’une pratique qui peut renouveler les études sur le vote en mettant l’accent sur la classe électoralement mobilisée, qui vote même quand elle ne peut le faire.

Un phénomène en expansion

Faciliter l’acte de vote est un impératif démocratique, et c’est en s’appuyant sur cet impératif que, depuis une cinquantaine d’années, les parlementaires ont facilité le vote par procuration.

Les différentes révisions du Code électoral, depuis 1964, ont rendu les procurations plus faciles (article L71 du Code électoral), notamment depuis la loi du 31 décembre 1975 qui, tout en supprimant le vote par correspondance, a étendu le domaine de la procuration [1]. Avant 1993, les vacances ne constituaient pas un motif suffisant (mais les « congés » des actifs, oui). Jusqu’en 2003, des « obligations dûment constatées » pouvaient donner droit à une procuration. Depuis une ordonnance de 2003, une attestation sur l’honneur suffit.

Tout cela a sans doute aidé la diffusion de la pratique. Aux deuxièmes tours des présidentielles de 1995 les procurations représentent 3,6% des voix exprimées ; 4,6% au deuxième tour des présidentielles de 2007. En 2012, au 2e tour, les procurations représentent 5,4% des voix exprimées. Elles représentent alors 7,3% des voix exprimées à Paris [2]. En 2012, au premier tour, elles se montent à 9,27% à Paris, et même à plus de 15% des voix exprimées dans certains bureaux de vote. Sur l’ensemble de la France, plus de 1,5 millions de personnes ont voté par procuration au deuxième tour des présidentielles. En 20 ans, la fréquence des procurations a été multipliée par deux. À l’échelle de Montpellier (la seule ville, pour l’instant, pour laquelle nous disposons d’une série aussi longue), la fréquence des procurations est liée à des conjonctures nationales de haute intensité (présidentielles), plus qu’à des scrutins locaux (municipales) où, pourtant, chaque procuration pèse beaucoup plus.

cliquer pour agrandir

La procuration n’est donc plus une pratique marginale, mais elle reste peu connue. Plusieurs raisons expliquent cette méconnaissance. Le nombre de procuration n’est presque jamais diffusé, et il ne fait pas partie des jeux de données habituellement disponibles : la pratique reste donc invisible. La conception du vote comme acte personnel individuel et secret, accompli dans le repli de l’isoloir [3], passe sous silence ce vote « à distance », résultat d’une transaction électorale négociée entre mandant et mandaté, faisant l’objet d’une démarche préalable auprès, le plus souvent, du commissariat ou de la gendarmerie. Rappelons en deux mots la procédure : une personne souhaitant voter par procuration doit remplir un formulaire (CERFA n°14952*01) et établir la procuration au tribunal d’instance, au commissariat ou dans une gendarmerie. Le mandaté doit être inscrit dans la même commune que le mandant.

Les études sur le vote se sont penchées avec profit sur les formes de l’abstention, qui révèlent un faible niveau d’intégration politique, ou l’éloignement à la politique [4]. Elles se sont aussi penchées sur les personnes non-inscrites sur les listes électorales, qui mettent en lumière le « cens caché » [5] des sociétés démocratiques contemporaines. Les bulletins « blancs et nuls » ont été scrutés, dans leurs dimensions géographiques ou expressives : insatisfaction face à l’offre électorale, manifestation d’un désintérêt, acte de défoulement [6] ou, pour prendre le célèbre exemple des élections en Floride en 2000, en lien avec un dispositif technique insatisfaisant. S’il y a un point commun à ces différentes études, c’est, finalement, d’étudier la distance sociale, les « ratés » de l’acte de vote, jamais entièrement universel, comportant une série de scories révélatrices. Ces travaux sur l’abstention ou la démobilisation électorale [7], importants pour comprendre une éventuelle crise de la représentation démocratique, laissent de côté par nécessité la surmobilisation électorale que représente la procuration – qui permet de voter quand on ne peut pas voter. La procuration répond certes à une situation personnelle – maladie, accouchement récent, déplacement professionnel, vacances – mais n’y voir que cela occulte le caractère social – collectif – de ces situations à première vue personnelles.

Signalons enfin une dernière raison. Quand la procuration est rapidement abordée [8], c’est dans le cadre d’une analyse de la fraude électorale. La suppression du vote par correspondance en 1975 et l’affirmation du vote par procuration ont eu lieu dans le cadre de discussions sur les fraudes liées aux votes par correspondance. Ensuite il est vrai que nombreuses sont les décisions des tribunaux administratifs et du Conseil d’État décrivant – notamment en Corse – des pratiques spécifiques concernant le vote par procuration. « L’organisation du vote par procuration laisse subsister des possibilités de fraude, notamment dans les départements où cette pratique est très usitée », écrivait Jean-Claude Masclet [9]. « En Corse par exemple, pour les élections locales, le pourcentage des votes par procuration a pu, dans certains cantons et villages, atteindre 50% », poursuit-il.

À partir de données récentes nous proposons ici une première analyse des logiques sociologiques et politiques de la procuration.

Le signe d’une surmobilisation électorale

Les bureaux de votes peu abstentionnistes, et où se trouvent peu de bulletins blancs ou nuls, sont ceux où les procurations sont les plus fréquentes. Si l’abstention et le vote blanc sont des réponses à une offre politique inadéquate, alors le vote par procuration, par opposition, apparaît comme le vote de celles et ceux qui trouvent leur bonheur dans l’offre politique disponible.

Pour les villes de Paris, Lyon et Nantes, le graphique suivant permet de remarquer, à l’échelle des bureaux de vote, la relation négative entre la proportion de votes par procuration et la proportion de votes blancs et nuls. Plus la procuration est fréquente, moins les votes blancs et nuls le sont.

cliquer pour agrandir

Il est certes possible de voter « blanc » par procuration, mais il peut être compliqué d’inciter ainsi son mandaté à se déplacer. Le vote par procuration, inverse du vote blanc ou nul, semblerait bénéficier, à première vue, aux partis politiques établis. Cette relation se vérifie aussi bien en 2007 qu’en 2012 : la régularité sociale qui se cache derrière la mosaïque des situations particulières donnant droit à la procuration résiste aux alternances, aux effets de contextes et à l’agenda politique.

La géographie municipale des procurations

La fréquence des procurations dessine des géographies municipales familières. Les cartes suivantes ont été établies à l’échelle des bureaux de vote, des unités géographiques de toute petite surface et liées à une population de même taille (autour de 1400 inscrits à Paris, 1000 à Lyon).

La carte suivante représente le taux de procuration, par bureau de vote, à Nantes lors des municipales de 2008, qui ont vu la réélection de Jean-Marc Ayrault. Les frontières des quartiers administratifs sont aussi représentées, par un trait noir. À Nantes, les quartiers qui ont recours à la procuration sont les espaces du centre ville, que les auteurs de Sociologie de Nantes [10] décrivent comme ceux de la bourgeoisie. Les zones périphériques utilisent beaucoup moins cette possibilité. Un examen plus précis montrerait, comme le souligne l’ouvrage précité, que les quartiers administratifs de Nantes regroupent sous un même intitulé des « sous-quartiers » socialement différents, rendus visibles à l’échelle des bureaux de vote.

cliquer pour agrandir

Une géographie similaire apparaît aussi à Lyon : les votes par procuration sont plus fréquents dans les quartiers bourgeois du centre ville. La carte suivante montre, pour Lyon, la fréquence moyenne des votes par procuration lors des quatre élections de 2012 (les deux tours des Présidentielles et les deux tours des Législatives qui ont suivi). Agréger ainsi plusieurs élections permet de mieux faire apparaître des régularités.

cliquer pour agrandir

Il serait possible de multiplier les exemples. Arrêtons-nous à Paris. En 2012, les votes par procuration apparaissent très répandus dans les 5e, 6e, 7e, 8e et 16e arrondissements, et comparativement beaucoup plus faibles dans les 19e et 20e arrondissements. La « ceinture » de HLM, située à proximité du périphérique, aux frontières de la ville, est bien repérable.

cliquer pour agrandir

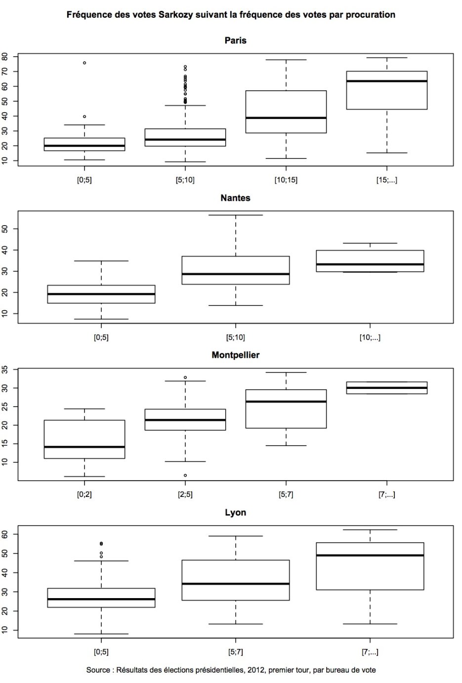
Le vote par procuration (repéré à l’échelle du bureau de vote) apparaît donc a priori comme un vote bourgeois, ce qu’illustre la corrélation positive entre votes par procurations et votes « Sarkozy » à la présidentielle de 2012. Plus les votes par procuration sont fréquents, plus les votes en faveur de Nicolas Sarkozy sont fréquents. L’observation ne portant que sur des bureaux de vote, il s’agit de ce que l’on appelle une corrélation écologique, et non sur les votes individuels, il ne faut pas en conclure que les votes par procuration sont des votes pour Nicolas Sarkozy, mais simplement qu’ils sont plus fréquents dans les bureaux « de droite ».

cliquer pour agrandir

Les données socio-démographiques rendues disponibles par le collectif de l’ANR « Cartelec » [11] nous permettent de préciser certains des déterminants sociologiques du vote par procuration.

À Paris (aux élections présidentielles de 2007), à l’échelle du bureau de vote, la fréquence de la procuration est positivement corrélée à la proportion de personnes âgées : l’impossibilité de se déplacer est une bonne raison de faire une procuration. Il en va de même avec la proportion d’étudiants, même si les (rares) bureaux de votes comprenant plus de 15% d’étudiants se comportent inversement. Les corrélations sont positives entre la proportion de cadres, la proportion de diplômés du supérieur, la proportion de propriétaires : la classe électoralement mobilisée est aussi une classe mobile. Et négatives avec la proportion de chômeurs, la proportion d’ouvriers et la proportion de ménages résidant en HLM

Les relations sont les mêmes au premier et au second tour des présidentielles (mais l’ampleur de la procuration est plus forte au second tour).

cliquer pour agrandir

Note de lecture : Les graphiques précédents présentent, pour chaque variable, l’histogramme de sa distribution. L’on voit ainsi qu’une grande partie des bureaux de vote sont des zones qui comptent moins de 10% de locataires HLM, ou qui comptent entre 5 et 15% d’étudiants. La droite de régression est indiquée en pointillée. Les lignes grasses représentent des régressions locales.

Une régression linéaire multiple permet de montrer que l’effet de la proportion de propriétaires reste statistiquement significatif en contrôlant par la proportion de personnes âgées et de cadres (les résultats sont similaires, en termes de signe et de significativité, pour les deux tours). À proportion de cadres et de personnes âgées constante, l’augmentation de la proportion de propriétaire est liée à une augmentation de la proportion de votes par procuration.

1er tour, Paris, présidentielles, 2007 :
1er tour, Paris, présidentielles, 2007
Estimate Std. Error Significativité
(Intercept) 0.007660 0.002743 **
Taux de personnes âgées (+ 65 ans) 0.070355 0.014095 ***
Taux de propriétaires 0.027500 0.006486 ***
Taux de cadres 0.059752 0.012304 ***

La procuration répond donc apparemment à des logiques sociales : elle est à première vue une modalité de vote des classes dominantes. Mais la procuration répond aussi à des logiques proprement politiques.

Un outil partisan : l’usage de la procuration par les partis politiques

Les partis politiques voient dans la procuration la possibilité de mobiliser des électeurs qui leur sont acquis (mais qui ne pourraient voter). Ils y voient aussi probablement un effet multiplicateur : par comparaison avec une personne non-mandatée, une mandatée est – par tous les liens de confiance qui la lient au mandant – sans doute plus incitée à voter. Un vote par procuration entraîne un autre vote, celui du mandaté.

Il est habituel que les permanences politiques de quartier permettent de trouver des mandatés. Mais ce dispositif artisanal est, de plus en plus, remplacé par une forme d’intermédiation électronique. Certains partis politiques ont par exemple mis en place, en 2012, des dispositifs d’intermédiation « mandant – mandaté » en utilisant l’interface internet. Le site « procuration2012.fr » permettait de trouver, en saisissant un simple code postal, une personne apte à devenir mandatée : « Si vous ne connaissez personne pour porter votre procuration, les équipes du PS peuvent vous mettre en relation avec des électeurs près de chez vous. »

cliquer pour agrandir

Internet permet évidemment de diminuer les coûts de l’intermédiation et de constituer une base d’électeurs politiquement proches. Les dispositifs permettent aussi de sécuriser le vote par procuration en confiant le mandat à un militant ou à un sympathisant, c’est à dire en extrayant la procuration des réseaux de confiance familiaux ou amicaux. En 2014, d’autres candidats (comme Nathalie Kosciusko-Morizet) consacrent une partie de leur site de campagne à un tel dispositif. Le site d’Anne Hidalgo cherche même à motiver, outre des mandant, des mandataires : « vous êtes disponible et impatient-e à l’idée de voter les 23 et 30 mars ? Votez deux fois ! » [12]

En amont, une forme d’intermédiation, donc. Et en aval, des pratiques différenciées. Les procurations sont, depuis longtemps, utilisées dans le cadre de campagnes politiques locales où il est possible de mobiliser des sympathisants qui ne peuvent voter en personne, notamment dans le cadre de pratiques clientélistes. Le recours aux procurations, ainsi, est bien visible à Paris lors des municipales de 2008 :

cliquer pour agrandir

En 2008 à Paris, le recours aux procurations est globalement plus faible qu’aux présidentielles de 2007 et 2012. Mais le 5e arrondissement s’avère spécifique : un combat serré y opposait Jean Tibéri – déjà mis en examen pour une affaire, celle des « faux électeurs » (qui ne concernait pas les votes par procuration) et maire d’arrondissement depuis 1983 — et Lyne Cohen-Solal (à qui, au second tour, manqueront 225 voix pour être élue maire de l’arrondissement). Dans le 5e les bureaux de vote ont vu, lors de ces élections, de nombreuses procurations, plus que dans les autres arrondissements de Paris. Le recours à la procuration est peut-être plus fréquent en cas de combat serré, dont l’issue dépend de la mobilisation de quelques dizaines d’électeurs. Mais dans le 5e, quatre bureaux de votes apparaissent en bleu foncé sur la carte : ils ont indiqué qu’il n’y avait eu aucun vote par procuration. L’association, dans le même arrondissement, de bureaux de vote « à nombreuses procurations » et de bureau « sans aucune procuration » peut susciter l’étonnement car aucun autre arrondissement central de Paris ne montre cette spécificité. Il sera instructif d’obtenir le nombre de procurations aux municipales de 2014.

Conclusion : enquêter sur une économie de la confiance

Alors que l’article 3 de la Constitution dispose que le suffrage « est toujours universel, égal et secret », le vote par procuration apparaît comme dérogatoire au moins à l’égalité et au secret. À l’égalité tout d’abord, puisque cela conduit une personne à disposer de deux ou trois bulletins : le mandaté reste libre de ses votes, n’étant lié que par des liens de confiance. Au secret ensuite : le mandant a dû rendre explicites – ou au minimum compréhensibles – ses intentions de vote.

Si la procuration a suscité, en raison de ce caractère dérogatoire et de son usage frauduleux, l’intérêt de juristes spécialistes du contentieux électoral, elle n’a pas suscité celui des politistes. À raison probablement : jusqu’à récemment encore, cette pratique était résiduelle, le plus souvent encore moins fréquente que les votes blancs ou nuls. Ce n’est plus le cas aujourd’hui : au premier tour des présidentielles de 2012, les procurations représentent, à Lyon 4,26% des voix exprimées, et à Paris 9,2%. De plus, à l’heure où le « choc de simplification » proposé par le Président de la République intègre une mesure visant à « dématérialiser » la procédure d’établissement de la procuration , un examen de cette modalité de vote s’imposait.

Si les principaux déterminants socio-démographiques de la procuration sont maintenant connus, nous n’avons travaillé que sur des données à l’échelle du bureau de vote. Il s’agit maintenant de descendre à l’échelle des individus, pour mieux comprendre cet acte de confiance restreint et matérialisé dans un dispositif d’enregistrement administratif. La procuration enregistre une relation sociale : travailler sur les listes et registres électoraux permettrait, assez simplement, de mieux connaître la procuration « familiale » (à partir de la similitude des noms de famille). Insérer des questions sur la procuration lors d’enquêtes ethnographiques sur certains bureaux de vote permettrait de comprendre un peu mieux le caractère collectif de cette pratique sociale. Comment, par ailleurs, se fait la négociation entre mandant et mandaté ? Y a-t-il des différences entre hommes et femmes (trouverait-on les uns plutôt mandants, les autres plutôt mandatées) ? Comment s’est libéralisée cette procédure ? La procuration modifie-t-elle les préférences partisanes (dans la mesure où le mandaté dispose en pratique de deux voix, même s’il est, en droit, le truchement neutre du mandant) ?

par & & , le 11 février 2014

Aller plus loin

Note : Nous remercions tout particulièrement Céline Colange (ingénieure de recherche CNRS à l’UMR IDEES, projet ANR Cartelec http://cartelec.net/) qui a collecté et mis en forme le fonds de carte des bureaux de vote pour l’année 2012.

Des annexes électroniques à cet article sont disponibles sur le blog d’Arthur Charpentier et sur celui de Baptiste Coulmont.

Pour citer cet article :

Arthur Charpentier & Baptiste Coulmont & Joël Gombin, « Un homme, deux voix : le vote par procuration », La Vie des idées , 11 février 2014. ISSN : 2105-3030. URL : https://booksandideas.net/Un-homme-deux-voix-le-vote-par-procuration

Nota bene :

Si vous souhaitez critiquer ou développer cet article, vous êtes invité à proposer un texte au comité de rédaction (redaction chez laviedesidees.fr). Nous vous répondrons dans les meilleurs délais.

Notes

[1Jean-Claude Masclet, “Procuration (Vote Par)”  ; Dictionnaire Du Vote, ed. Pascal Perrineau and Dominique Reynié, (Paris : PUF, 2001).

[2Données : Ministère de l’intérieur, fichier rétrospectif du nombre de procurations par départements, 1993-2012. Ce fichier est lacunaire : à chaque élection, plusieurs départements ne font pas remonter le nombre de procurations. En 2012 manquent ainsi à l’appel l’Aisne, les Alpes de Haute Provence, les Alpes maritimes, l’Ardèche, l’Ariège, l’Aude, la Haute Corse, la Drome, l’Hérault, l’Isère, le Jura, la Haute Marne, les Pyrénées atlantiques et orientales, le Tarn, la Vienne…

[3Alain Garrigou, “Le Secret de L’isoloir,” Actes de La Recherche En Sciences Sociales 71 (1988) : 22–45, doi:10.3406/arss.1988.2405.

[4On consultera aussi Jérôme Jaffré and Anne Muxel, “Chapitre 1. S’abstenir  : hors du jeu ou dans le jeu politique   ?,” in Les cultures politiques des Français, ed. Pierre Bréchon, Annie Laurent, and Pascal Perrineau (Paris : Presses de Sciences Po, 2000), 17–52  ; Alain Lancelot, “L’abstentionnisme électoral en France”, Cahiers de la Fondation nationale des sciences politiques 162 (Paris : Armand Colin et Presses de la Fondation nationale des sciences politiques, 1968).

[5Daniel Gaxie, Le cens caché. Inégalités culturelles et ségrégation politique (Paris : Éditions du Seuil, 1978).

[6Pierre Bréchon, “Blanc et Nul (Vote)”, Dictionnaire du Vote, ed. Pascal Perrineau and Dominique Reynié (Paris : Presses Universitaires de France, 2001).

[7Céline Braconnier and Jean-Yves Dormagen, La Démocratie de L’abstention  : Aux Origines de La Démobilisation En Milieu Populaire (Paris : Gallimard, 2007).

[8Michel Offerlé, “L’électeur et Ses Papiers. Enquête Sur Les Cartes et Les Listes Électorales (1848-1939),” Genèses 13 (1993) : 29–53, doi:10.3406/genes.1993.1197  ; Yves Déloye and Olivier Ihl, L’acte de Vote (Paris : Les Presses de Sciences Po, 2008)  ; Olivier Ihl, Le Vote, 2e éd. (Paris : LGDJ / Montchrestien, 2000)  ; Nathalie Dompnier, “La mesure des fraudes électorales,” Histoire & mesure XXII (2007) : 123–144, doi:10.4000/histoiremesure.2313.

[9Masclet, “Procuration (Vote Par)”, art. cit., p. 761.

[10Philippe Masson et al., Sociologie de Nantes (Paris : La Découverte, 2013).

[11Laurent Beauguitte and Céline Colange, “Analyser les comportements électoraux à l’échelle du bureau de vote” (March 2013).

[12Citation extraite de http://action.anne-hidalgo.net/page/s/vous-faites-quoi-le-23-mars- consulté le 10 février 2014

Partenaires


© laviedesidees.fr - Toute reproduction interdite sans autorisation explicite de la rédaction - Mentions légales - webdesign : Abel Poucet